

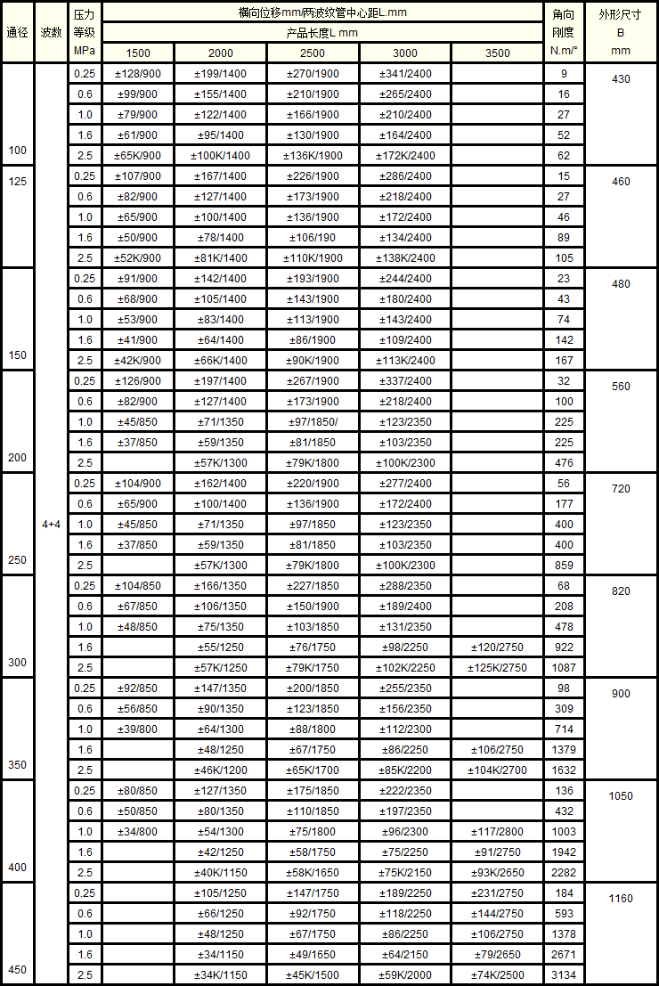
产品型号:GDJHB
口径:DN100-DN2500
工作压力:0.25-2.5MPa
性能特点:该类膨胀节实际是用两个角向型膨胀节,用长的中间接管组合而成的。它可以吸收单平面方向上的横向曲位移。它们的铰链可以承受内压的推力。

公 司:江苏国电管道设备有限公司
联系人:丁先生
手 机:13862701848
15962741187
电 话:0513-88715088(技术部)
0513-88715288(销售部)
0513-88790188(总 机)
E-mail:13862701848@163.com
地 址:江苏省海安市曲塘镇工业集中
区双工路21号